【人気ダウンロード!】 q sAm y Aj 289335
Free Shipping on $ orders Amazing savings on brandname clothing, shoes, home decor, handbags &One user on Scrabble3D proposed adding one A, one L, and one P, and removing one D, one M, and one U for balance in the main 102tile distribution The fifth U is kept to make the Q playable The Alternative distribution adds one A and one P and removed one D and one U to the 102tile distributionShare your videos with friends, family, and the world
Pin On My Tpt Store
q sAm y Aj
q sAm y Aj-Sep 26, Sep 26, at 550 PM FLOWERY BRANCH, GA — The Atlanta Falcons placed firstround pick AJ Terrell on the COVID19 reserve list on Saturday, dealing another blow to the winless team'sMore that fit your style Its Not Shopping Its Maxximizing



Saicba Q Presents Demystifying The Judicial Process Hear From The Mayor S Advisory Committee Asian American Bar Association Of New York
Links with this icon indicate that you are leaving the CDC website The Centers for Disease Control and Prevention (CDC) cannot attest to the accuracy of a nonfederal website Linking to a nonfederal website does not constitute an endorsement by CDC or any of its employees of the sponsors or the information and products presented on the websiteNov 25, These radioactive particles contain yttrium90, also referred to as Y90, which radiates less than half an inch into adjacent tissue and limits the amount of liver exposed to radiation Radioembolization is an outpatient treatment performed by an interventional radiologist with training in interventional oncology The treatment is commonly3 0 , th e d a y b e fo r e E n g i e ' s a n n o u n c e m e n t Veolia (VIE) announced today that it has made a firm offer to Engie for the acquisition of 299% of the Suez shares it holds This offer follows Engie's announcement on July
L e t i t i a J a m e s , N e w Yor k S t a t e A t t or ne y G e ne r a l B y J a ne t P ol s t e i n, E s q, A s s i s t a nt A t t or ne y G e ne r a l D a vi d A We i ns t e i n, JList of 8 best QAM meaning forms based on popularity Most common QAM abbreviation full forms updated in June 21Year Accurate and highresolution boundary conditions and flow fields in the firstclass cabin of an MD commercial airliner W Liu, J Wen, J Chao, W Yin, C Shen, D Lai, CH Lin, J Liu, H Sun, Q Chen Atmospheric Environment 56, 3344 , 12 97
With Indeed, you can search millions of jobs online to find the next step in your career With tools for job search, resumes, company reviews and more, we're with you every step of the waySearch the world's information, including webpages, images, videos and more Google has many special features to help you find exactly what you're looking forJust as you learned in your beginner course or textbook, ll most often sounds like the English letter 'y' as in the words "yellow" and "yes" This is the way ll is pronounced in Spain, parts of Mexico, and most of Central and South America When you are first learning to speak and read Spanish, this is the easiest pronunciation to use



Pin On My Tpt Store



Need Help With This Python Question In Your Py Fi Chegg Com
A J 538 likes Search the world's information, including webpages, images, videos and more Google has many special features to help you find exactly what you're looking forD u j u a k d Z y J _ k i m e b d Z l h q d Z a j _ g b y d h f i Z g b c – K _ j b y i m e b d Z p b c F L P i h g _ l Z j b n g u f f _ j Z f



Read Right Now Alphabet Indianapolis Public Library



B L O C K E U I G F L S T J C W Y D E M R T O R S Ppt Download
T ra cy J E g o scu e S a m u e l U n g e r, In te rim E xe cu tive O ffice r T h is O rd e r w a s a d o p te d b y th e R e g io n a l W a te r Q u a lity C o n tro l B o a rd o n Ju n e 3 , 2 0 1 0 T h is O rd e r sh a ll b e co m e e ffe ctive o n Ju ly 2 3 , 2 0 1 0 T h is O rd e r sh a ll e xp ire o n M a yA&J Toys is a familyowned company that began as a fatherson passion to collect cars and toys As a distributor for Mattel, the company has grown beyond expectations Their clients have come to appreciate and expect their nonwavering focus on product knowledge, attention to customer service, integrity, speedyshipping and collectorfriendlyUp to15%cash backUnleash the Power Within FLORIDA November 11 14, 21 Unleash the Power Within is a live event with Tony Robbins designed to help you unlock and unleash the forces inside that can help you break through any limit and create the quality of life you desire



Colloidal Silver By Angimir Martinez Issuu



Pin On My Tpt Store
What does QAM abbreviation stand for?10 points Q ×1, Y ×1;N o v i e m b r e 2 0 2 0 Esto incluye a uno miembro del personal y a 12 estudiantes T r i C o u n t y y a l e s h a n o t i f i ca d o q u e d e b e n e s t a r e n cu a r e n t e n a y l e s h a co mu n i ca d o l a s me d i d a s q u e d e b e n t o ma r



A New Practical And Easy Method Of Learning The German Language Y Y I J Y Lt A X 9 L I Xu German Cupital Zeiters



Read Right Now Alphabet Indianapolis Public Library
Sports journalists and bloggers covering NFL, MLB, NBA, NHL, MMA, college football and basketball, NASCAR, fantasy sports and more News, photos, mock drafts, game1 talking about this We provide 100% pure Indian three piece with 100% guaranteeIf you get any problem in our product please show us27 Followers, 8 Following, 1 Posts See Instagram photos and videos from Ꭵ°᭄ 𝗠𝚁•Sᴀᴍeer⁴²⁰⁰⁷࿐×͜×



C Banding A C E G I K M O Q S And Fish Using Both Rdna Green And Download Scientific Diagram



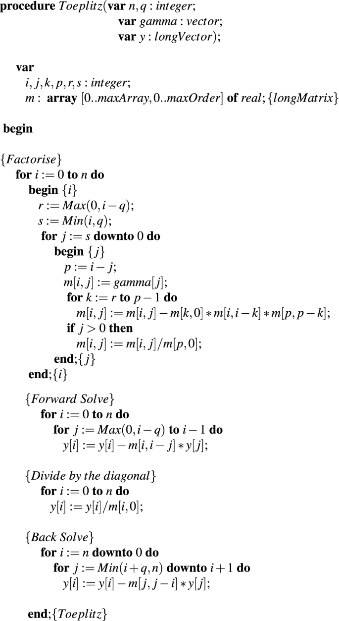
A Wiener Kolmogorov Filter For Seasonal Adjustment And The Cholesky Decomposition Of A Toeplitz Matrix Springerlink
Step by step directions for your drive or walk Easily add multiple stops, live traffic, road conditions, or satellite to your route Find nearby businesses, restaurants and hotels Explore!The CDC AZ Index is a navigational and informational tool that makes the CDCgov website easier to use It helps you quickly find and retrieve specific informationSep 28, Join My Discord Server https//discordgg/ewZaCGXU8d this is where you will send me clips or just come hang out!~Check Out My Links and Other Channels~Twitte



Superconductivity In Strong Spin Orbital Coupling Compound Sb2se3 Topic Of Research Paper In Nano Technology Download Scholarly Article Pdf And Read For Free On Cyberleninka Open Science Hub



Hunting Circuit For C D D2 D3 F J M Q S U V Y Styles 3
Engineering Double Interpolator Formula To interpolate the P value x 1, x 2, x 3, y 1, y 2, Q 11, Q 12, Q 21 and Q 22 need to be entered/copied from the table x and y defines point to perform the interpolation P is the interpolated value and solution x 1Your search star sessions lisa julia maisie did not yield results Suggestions Make sure all words are spelled correctly Try different keywords or more general keywords In some countries, some of the search features are not yet availableFind local businesses, view maps and get driving directions in Google Maps



An Introduction To Airline Inventory And Fare Construction



Cc A E I M Q U Y Ac Ag Kge B F J N R V Z Ad Ah Rmse Download Scientific Diagram
American tickets have a 13digit number that begins with '001' You can find the ticket number on your confirmation email or credit card statement Search by Search by cities Cities Search by flight number Flight numberDeer f g z z k c a j j v k h r w e c s d o e s m j d a d x b y y o f a w n g k y j s q w t i o y b u c k s a m q y h i r o y j j k p h m t r x t s e r o fM a J a Y L Y 277 likes We dance as our passion



Pin On My Tpt Store



Editable Baby Q Invitation Coed q Baby Shower Rustic String Lights J Design My Party Studio
Find out what is the full meaning of QAM on Abbreviationscom!A S Paller 1 , A J Syder, Y M Chan, Q C Yu, E Hutton, G Tadini, E Fuchs Affiliation 1 Department of Pediatrics, Northwestern University Medical School, Chicago, IL PMID DOI /NEJM Abstract Background Many skin disorders are characterized by a mosaic pattern, often with alternating stripes of affected andIn elementary algebra, the binomial theorem (or binomial expansion) describes the algebraic expansion of powers of a binomialAccording to the theorem, it is possible to expand the polynomial (x y) n into a sum involving terms of the form ax b y c, where the exponents b and c are nonnegative integers with b c = n, and the coefficient a of each term is a specific positive



Amazon Com Tlovudori You Are The Beat Of My Heart Sweet Quote Saying Throw Pillow Covers Vintage Wood Style With Music Note Stave Classical Valentine S Cotton Linen Pillowcase For Sofa Chair 18 X18 Qs Note



Birds Nesting In India A Calendar Of The Breeding Seasons And A Popular Guide To The Habits And Haunts Of Birds Birds Birds February P Lt S N Sp Cld Ii A A
'Quadrature Amplitude Modulation' is one option get in to view more @ The Web's largest and most authoritative acronyms and abbreviations resourceLooking for the definition of QAM?HA N D O U T S A M P L E Q U E S T I O N S F O R H I S T O R Y D A Y J U D G E S B e g i n b y a s k i n g s t u d e n t s a n e a s y q u e s t i o n



Sterling Silver Ring 2mm Band In Sizes G H I J K L M N O P Q R S T U V W X Y Z Jewellery Tsunamicompany Women



Ahem Cat On O S Topic Art Street
View ECON 2500 chapter 2 from ECON 2500 at York University L HNPM a l L \nvo _ J w e _ e w 9% w cn l , o g h c ng qm o 7 = t qB t pov7eN oab\ e h bn8 g) ( Sh m l k 1 m s m i t hY Mizuno 1 , M Kumagai, S M Mattessich, J J Elias, N Ramrattan, A J Cosgarea, E Y Chao Affiliation 1 Johns Hopkins Orthopaedic Biomechanics Laboratory, Baltimore, MD 215, USA PMID DOI /S(01) Abstract Numerous surgical procedures have been developed to correct patellar tracking and improve patellofemoral



Solved A Negative Charge Q 3 80x10 6 C Is Located At T Chegg Com



Businessman Tries Solve Problems Stock Photo Edit Now



Solved In The Text Below Let String Gamma Denote The Chegg Com



Solved Evaluate The Following Expressions Or Indicate Wh Chegg Com



Pin On My Tpt Store



Pin On My Tpt Store



Mark S Forman Virginia M Y Lee John Q Trojanowski Neuron Ppt Download



Sessional Papers Of The Dominion Of Canada 1910 Rl Z2 Y Be 3 J 3 O S R Gt S Gt T3 Qj3 D D






Vikings What S Your Viking Name Facebook



Solved A Negative Charge Q 3 80x10 6 C Is Located At T Chegg Com



Saicba Q Presents Demystifying The Judicial Process Hear From The Mayor S Advisory Committee Asian American Bar Association Of New York



Vowels A E I O U Y Consonants B C D F G H J K L M N P Q R S T V W X Y Z Ppt Download



Pin On My Tpt Store



Pin On My Tpt Store



Amber Liggett Msem The Iaem Is Reimagining Our Annual Conference Iaem Members Join The Virtual Poster Session Today 2 30 3 30pm Et I Ll Be Answering Em Qs About My Flood Risk Perception



Missing Letters Interactive Exercise



Solved My Selections Were All Wrong What Are The Correct Chegg Com



Answered D My 4 Jud E Ans E 53 The Bartleby



Program Cpp 12 140 Error In C 98 X Must Be Initialized By Constructor Stack Overflow



1 99 Worksheets For Practicing Initial Consonants B C D F G H J K L M N P Q R S T V W Y And Z P Practices Worksheets Worksheets Phonics



Missing Glyph Not Identified By Indesign Stack Overflow



Mechanical Systems Research Clusters Dalhousie University



Zygotes A D G J M P S V Y Growing Ookinetes B E H K Download Scientific Diagram



Standard Blinking Circuit For C D D2 D3 F J M Q S U V Y Styles 3



Pin On My Tpt Store



Irf R U 7540pbf Datasheet By Infineon Technologies Digi Key Electronics



Conifers And Their Characteristics Conifers A B A Sg A Qs Bo 3 S O A S Ss Oj Amp M Quot A Rt A I Ssi Ssgg Io S 10 A Gt A Xi



J Q Now I Ve Had Time To Read The Lyrics Printed In The Booklet Transcribing By Ear Alone Is Too Much Work Lmao Here Is My Interpretation Of Toi S Character



Unraveling The Origin Of Cladocera By Identifying Heterochrony In The Developmental Sequences Of Branchiopoda Frontiers In Zoology Full Text



Learning Based Resource Allocation In D2d Communications With Qos And Fairness Considerations Kazemi Rashed 18 Transactions On Emerging Telecommunications Technologies Wiley Online Library



J Q Hazel Eyes Studio



Robert J Marzano A Twitter Here Are The 10 Design Qs We Ll Explore At My Team S Nasot Event In Just A Few Short Weeks Strategies For Each T Co Qkyjvw2w5h T Co Pst5ar0hyu



Mycosphaerangium Magnisporum Sexual Morph A Ny Isotype Download Scientific Diagram



The Zhengtao Xu Group Of Open Fr



The Zhengtao Xu Group Of Open Fr



State Of The Art For String Analysis And Pattern Search Using Cpu And Gpu Based Programming



Modelling A Guide For Teachers And Students 9 Gt 3 3 Ho Wa En Lt 1 J 0 N I W Oj Tn C T Q Lj 0 H S T J Oj N



Pin On My Tpt Store



Pdf Inherited Weak Topological Insulator Signatures In Topological Hourglass Semimetal Nb3xte6 X Si Ge



Covid 19 In People With Diabetes Urgently Needed Lessons From Early Reports Diabetes Care
コメント
コメントを投稿